高中数学课本中讲到,按一定次序排列的一列数称为数列。下面是小编给大家带来的高中数列知识点总结,希望对你有帮助。

1、高二数学数列的定义
按一定次序排列的一列数叫做数列,数列中的每一个数都叫做数列的项。
(1)从数列定义可以看出,数列的数是按一定次序排列的,如果组成数列的数相同而排列次序不同,那么它们就不是同一数列,例如数列1,2,3,4,5与数列5,4,3,2,1是不同的数列。
(2)在数列的定义中并没有规定数列中的数必须不同,因此,在同一数列中可以出现多个相同的数字,如:-1的1次幂,2次幂,3次幂,4次幂,…构成数列:-1,1,-1,1,…。
(4)数列的项与它的项数是不同的,数列的项是指这个数列中的某一个确定的数,是一个函数值,也就是相当于f(n),而项数是指这个数在数列中的位置序号,它是自变量的值,相当于f(n)中的n。
(5)次序对于数列来讲是十分重要的,有几个相同的数,由于它们的排列次序不同,构成的数列就不是一个相同的数列,显然数列与数集有本质的区别。如:2,3,4,5,6这5个数按不同的次序排列时,就会得到不同的数列,而{2,3,4,5,6}中元素不论按怎样的次序排列都是同一个集合。
2、高二数学数列的分类
(1)根据数列的项数多少可以对数列进行分类,分为有穷数列和无穷数列。在写数列时,对于有穷数列,要把末项写出,例如数列1,3,5,7,9,…,2n-1表示有穷数列,如果把数列写成1,3,5,7,9,…或1,3,5,7,9,…,2n-1,…,它就表示无穷数列。
(2)按照项与项之间的大小关系或数列的增减性可以分为以下几类:递增数列、递减数列、摆动数列、常数列。
3、高二数学数列的通项公式
数列是按一定次序排列的一列数,其内涵的本质属性是确定这一列数的规律,这个规律通常是用式子f(n)来表示的,
这两个通项公式形式上虽然不同,但表示同一个数列,正像每个函数关系不都能用解析式表达出来一样,也不是每个数列都能写出它的通项公式;有的数列虽然有通项公式,但在形式上,又不一定是唯一的,仅仅知道一个数列前面的有限项,无其他说明,数列是不能确定的,通项公式更非唯一。如:数列1,2,3,4,…,
由公式写出的后续项就不一样了,因此,通项公式的归纳不仅要看它的前几项,更要依据数列的构成规律,多观察分析,真正找到数列的内在规律,由数列前几项写出其通项公式,没有通用的方法可循。
再强调对于数列通项公式的理解注意以下几点:
(1)数列的通项公式实际上是一个以正整数集N*或它的有限子集{1,2,…,n}为定义域的函数的表达式。
(2)如果知道了数列的通项公式,那么依次用1,2,3,…去替代公式中的n就可以求出这个数列的各项;同时,用数列的通项公式也可判断某数是否是某数列中的一项,如果是的话,是第几项。
(3)如所有的函数关系不一定都有解析式一样,并不是所有的数列都有通项公式。
如2的不足近似值,精确到1,0。1,0。01,0。001,0。000 1,…所构成的数列1,1。4,1。41,1。414,1。414 2,…就没有通项公式。
(4)有的数列的通项公式,形式上不一定是唯一的,正如举例中的:
(5)有些数列,只给出它的前几项,并没有给出它的构成规律,那么仅由前面几项归纳出的数列通项公式并不唯一。
4、高二数学数列的图象
对于数列4,5,6,7,8,9,10每一项的序号与这一项有下面的对应关系:
序号:1 2 3 4 5 6 7
项: 4 5 6 7 8 9 10
这就是说,上面可以看成是一个序号集合到另一个数的集合的映射。因此,从映射、函数的观点看,数列可以看作是一个定义域为正整集N*(或它的有限子集{1,2,3,…,n})的函数,当自变量从小到大依次取值时,对应的一列函数值。这里的函数是一种特殊的函数,它的自变量只能取正整数。
由于数列的项是函数值,序号是自变量,数列的通项公式也就是相应函数和解析式。
数列是一种特殊的函数,数列是可以用图象直观地表示的。
数列用图象来表示,可以以序号为横坐标,相应的项为纵坐标,描点画图来表示一个数列,在画图时,为方便起见,在平面直角坐标系两条坐标轴上取的单位长度可以不同,从数列的图象表示可以直观地看出数列的变化情况,但不精确。
把数列与函数比较,数列是特殊的函数,特殊在定义域是正整数集或由以1为首的有限连续正整数组成的集合,其图象是无限个或有限个孤立的点。
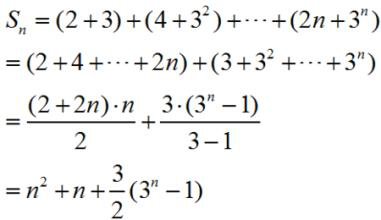
5、高二数学递推数列
最后,希望育路小编整理的高二数学上学期期中必背知识点对您有所帮助,祝同学们学习进步。
