考试试题大全
考试试题
最新
推荐
外语试题
医药试题
财会试题
建筑试题
资格试题
学历试题
其他试题
首页
>
考试试题
>
学历试题
>
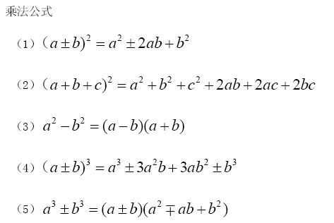
2013联考MBA数学考试辅导:乘法公式
2013联考MBA数学考试辅导:乘法公式
发布时间:2019-02-10 15:41:43
2013联考MBA数学考试辅导:乘法公式
阅读更多
学历试题
,请访问生活日记网 用日志记录点滴生活!
考试试题
频道。
41
阅读(695)
您可能喜欢的考试试题
2017年12月英语四级作文范文:社区工作
2017年12月英语四级作文范文:外貌协会
2017年英语四级写作模拟试题:图书馆
2017年英语四级写作模拟试题:学生生存状况
2017年英语四级写作模拟试题:快餐
2017年英语四级写作模拟试题:网络游戏
2017年英语四级写作模拟试题:电脑普及
2017年英语四级写作模拟试题:互联网教育
2017年英语四级写作模拟试题:英语学习为主题
2017年英语四级写作模拟试题:校园恋爱
葡萄牙语词汇辅导:葡萄牙语词汇-生肖
葡萄牙语词汇辅导:与时间有关的单词与问候语
葡萄牙语词汇辅导:葡语的星期、月份和季节
葡萄牙语旅游常用旅游观光词汇
葡萄牙语日期月份星期年月的说法
葡萄牙语“新年好”“新年快乐”的说法
葡萄牙语的“我爱你”怎么说
葡萄牙语词汇辅导:专业设备和工具
葡萄牙语词汇辅导:汽车品牌
葡萄牙语词汇:生肖
喜欢
考试试题
,那就经常来哦
该内容由生活日记网提供.
栏目分类
外语试题
医药试题
财会试题
建筑试题
资格试题
学历试题
其他试题
考试试题推荐
法语语法与词汇考试练习选择题(1)
法语专业四级:法语听写测试汇总
专业四级 :法语四级语法精练试卷一
法语专业四级试题:法语听写一
法语专业四级试题:法语听写二
西班牙语语法:常见动词原形形式
西班牙语入门语法总结1
西班牙语入门语法总结2
"瞎尿惹"的西班牙语表达方式
西班牙语拟声词大全
精选考试试题
执业药师
一级消防工程师
注册师
大学英语
法语
韩语
托福
法语初级
日语
模拟题
建造师
护理
英语六级
一级建造师
报检员
英语三级
法语口语
俄语
意大利语
会计
英语八级