考试试题大全
考试试题
最新
推荐
外语试题
医药试题
财会试题
建筑试题
资格试题
学历试题
其他试题
首页
>
考试试题
>
学历试题
>
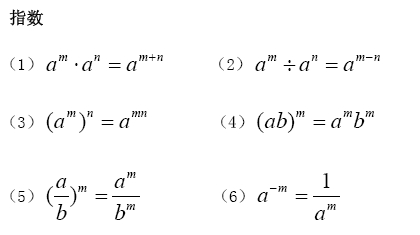
2013联考MBA数学考试辅导:指数
2013联考MBA数学考试辅导:指数
发布时间:2019-02-10 15:41:44
2013联考MBA数学考试辅导:指数
阅读更多
学历试题
,请访问生活日记网 用日志记录点滴生活!
考试试题
频道。
76
阅读(468)
您可能喜欢的考试试题
2019年护士资格考试同步练习:流行性乙型脑炎病人的护理
2019一级建造师建筑工程章节练习题汇总
吉林2019年普通高校对口招生录取时间安排
2019广东春季高考录取18.2万人
中考满分作文600字大全:我心中的春
2019年中考作文素材:贫穷造就了作家
2019年中考作文素材:居里夫人“幸运”的失恋
2019年温州中考英语模拟试题及答案
甲建筑公司以10000万元的总承包额中标为某房地产开发公司承建一幢写字楼
项目债务融资规模一定时,增加短期债务资本比重产生的影响是
2015安徽高考理综试卷
2015年安徽高考理综试题及参考答案
2015北京高考理综化学考试试题
2015全国新课标Ⅱ卷高考理综答案
2015福建高考理综答案
2015福建高考理综试卷
2015福建高考理综试题及参考答案
2015重庆高考理综答案
2015重庆高考理综试卷
2015年重庆高考理综试题及答案(图片)
喜欢
考试试题
,那就经常来哦
该内容由生活日记网提供.
栏目分类
外语试题
医药试题
财会试题
建筑试题
资格试题
学历试题
其他试题
考试试题推荐
法语专业四级试题:法语听写二
法语专业四级试题:法语听写三
法语专业四级试题:法语听写四
法语专业四级试卷1
法语 专业四级水平测试试题
复方氨基酸注射液
木糖醇
利胆酚
牛胆酸钠
腺苷蛋氨酸
精选考试试题
英语八级
法语口语
GRE
日语
一级建造师
英语四级
俄语
报检员
初级语法
注册师
计算机
韩语
护理
一级消防工程师
初级会计师
大学英语
会计
建造师
托福
英语三级
英语六级