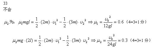
33.如图所示,光滑的水平面上有二块相同的长木板A和B,长为l=0.5m,在B的右端有一个可以看作质点的小铁块C,三者的质量都为m,C与A、B间的动摩擦因数都为μ。现在A以速度ν0=6m/s向右运动并与B相碰,撞击时间极短,碰后A、B粘在一起运动,而C可以在A、B上滑动,问:
(1)如果μ=0.5,则C会不会掉下地面?
(2)要使C最后停在长木板A上,则动摩擦因数μ必须满足什么条件?(g=10m/s2)

参考答案

发布时间:2019-02-10 17:32:13
33.如图所示,光滑的水平面上有二块相同的长木板A和B,长为l=0.5m,在B的右端有一个可以看作质点的小铁块C,三者的质量都为m,C与A、B间的动摩擦因数都为μ。现在A以速度ν0=6m/s向右运动并与B相碰,撞击时间极短,碰后A、B粘在一起运动,而C可以在A、B上滑动,问:
(1)如果μ=0.5,则C会不会掉下地面?
(2)要使C最后停在长木板A上,则动摩擦因数μ必须满足什么条件?(g=10m/s2)

参考答案

该内容由生活日记网提供.