发布时间:2019-02-10 17:32:19
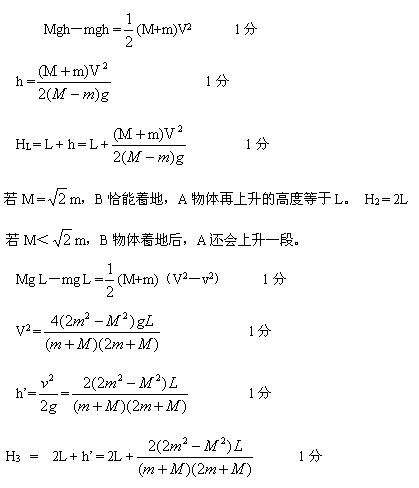
19.如图所示,物块A的质量为M,物块B、C的质量都是m,并都可看作质点,且m(1) 物块A上升时的最大速度;(2) 物块A上升的最大高度。
参考答案
该内容由生活日记网提供.