2014安徽高考理科数学试题答案/解析

发布时间:2019-02-11 10:50:14

重要专题>> 2014安徽高考成绩查询 安徽2014年高考大事件月历 每月重要事项

      2014安徽高考志愿填报  |  2014安徽高考录取分数线  |  安徽2014年高考志愿填报系统指南

相关推荐>> 安徽2014高考满分作文 | 安徽2014高考作文题目 | 安徽2014高考志愿填报 | 全国2014年高校介绍 | 全国2014年高校专业介绍 | 2014-2015高考中国大学排名、专业排行

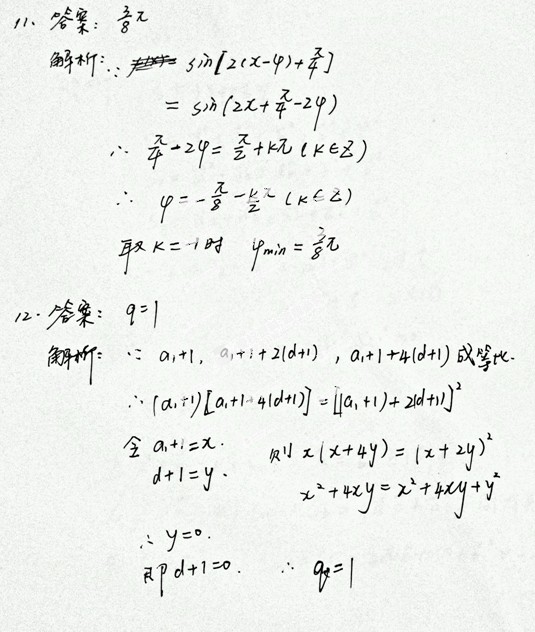
2014安徽高考理科数学试题答案/解析

2014安徽高考理科数学试题答案/解析

2014安徽高考理科数学试题答案/解析

2014安徽高考理科数学试题答案/解析

2014安徽高考理科数学试题答案/解析

2014安徽高考理科数学试题答案/解析

阅读更多学历试题,请访问生活日记网 用日志记录点滴生活!考试试题频道。
喜欢考试试题,那就经常来哦

该内容由生活日记网提供.