2016浙江高考文科数学试题答案解析(word版)
2016年浙江高考文科数学试题答案解析
一、浙江高考文科数学选择题(本大题共8小题,每小题5分,共40分.在每小题给出的四个选项中,只有一项是符合题目要求的.gaosan.com)
A.{1} B.{3,5} C.{1,2,4,6} D.{1,2,3,4,5}
【答案】C

考点:补集的运算.
2. 已知互相垂直的平面α,β交于直线l.若直线m,n满足m∥α,n⊥β,则( )
A.m∥l B.m∥n C.n⊥l D.m⊥n
【答案】C
【解析】
![]()
考点:线面位置关系.
3. 函数y=sinx2的图象是( )

【答案】D
【解析】
【答案】B

考点:线性规划.

【答案】D
【解析】
考点:对数函数的性质.
6. 已知函数f(x)=x2 bx,则“b<0”是“f(f(x))的最小值与f(x)的最小值相等”的( )
A.充分不必要条件 B.必要不充分条件
C.充分必要条件 D.既不充分也不必要条件
【答案】A
考点:充分必要条件.


【答案】A
考点:新定义题、三角形面积公式.
二、浙江高考文科数学填空题(本大题共7小题,多空题每题6分,单空题每题4分,共36分.)
9. 某几何体的三视图如图所示(单位:cm),则该几何体的表面积是______cm2,体积是______cm3.

【答案】80;40.
【解析】
试题分析:由三视图知该组合体是一个长方体上面放置了一个小正方体,

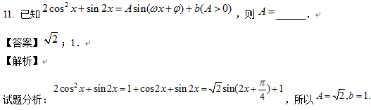
考点:圆的标准方程.

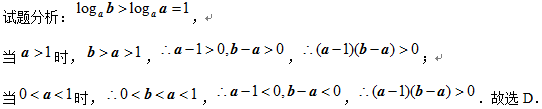
考点:三角恒等变换.
12.设函数f(x)=x3 3x2 1.已知a≠0,且f(x)–f(a)=(x–b)(x–a)2,x∈R,则实数a=_____,b=______.
【答案】-2;1.
【解析】
锐角三角形,则|PF1| |PF2|的取值范围是_______.
![]()
考点:双曲线的几何性质.
14.如图,已知平面四边形ABCD,AB=BC=3,CD=1,AD=√,∠ADC=90°.沿直线AC将△ACD翻折成△ACD’,直线AC与BD’所成角的余弦的最大值是______.

![]()


【解析gaosan.com】
考点:平面向量的数量积和模.
三、解答题(本大题共5小题,共74分.解答应写出文字说明、证明过程或演算步骤.)
16.(本题满分14分)在△ABC中,内角A,B,C所对的边分别为a,b,c.已知b c=2acos B.
(Ⅰ)证明:A=2B;
(Ⅱ)若cos B=2/3,求cos C的值.
【答案】(1)证明详见解析;(2)cos C=22/27.
【解析gaosan.com】
试题分析:本题主要考查三角函数及其变换、正弦和余弦定理等基础知识,同时考查运算求解能力.


考点:等差、等比数列的基础知识.
18. (本题满分15分)如图,在三棱台ABC-DEF中,平面BCFE⊥平面ABC,∠ACB=90°,BE=EF=FC=1,BC=2,AC=3.
(I)求证:BF⊥平面ACFD;
(II)求直线BD与平面ACFD所成角的余弦值.




考点:空间点、线、面位置关系、线面角.
19.(本题满分15分)如图,设抛物线y2=2px(p>0)的焦点为F,抛物线上的点A到y轴的距离等于|AF|-1.
(I)求p的值;
(II)若直线AF交抛物线于另一点B,过B与x轴平行的直线和过F与AB垂直的直线交于点N,AN与x轴交于点M.求M的横坐标的取值范围.

![]()


考点:抛物线的几何性质、直线与抛物线的位置关系.

【答案】(Ⅰ)证明详见解析;(Ⅱ)证明详见解析.
【解析gaosan.com】
试题分析:本题主要考查函数的单调性与最值、分段函数等基础知识,同时考查推理论证能

考点:函数的单调性与最值、分段函数
