1.给出三个多项式X =2a2+3ab+b2,Y =3a2+3ab,Z = a2+ab,请你任选两个进行加(或减)法运算,再将结果分解因式.
2.计算:
(1)[(a2)5.(-a2)3]÷(-a4)4; (2)(a-b)3÷(b-a)2 (-a-b)5÷(a b)4
3.已知ax=4,ay=5,求ax-y的值。
4.天平的左边挂重为 ,右边挂重为 ,请你猜一猜,天平会倾斜吗?如果出现倾斜,将向那边倾斜?
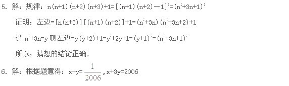
5.给出下列算式:
1×2×3×4 1=52;
2×3×4×5 1=112;
3×4×5×6 1=192;
4×5×6×7 1=292;
……
观察上面一系列算式,你能发现有什么规律?证明你得出的结论。
6.已知2006x 2006y=1,x 3y=2006,试求2x2 8xy 6y2的值。
=(a-b)-(a b)
=a-b-a-b
=-2b
3.解:∵ ax=4,ay=5,
∴ax-y=ax÷ay
=
4.左边—右边=m2 1>0,会,右边向下倾斜
2x2 8xy 6y2=2(x2 4xy 3y2)=2(x y)(x 3y)
=2× ×2006
=2
