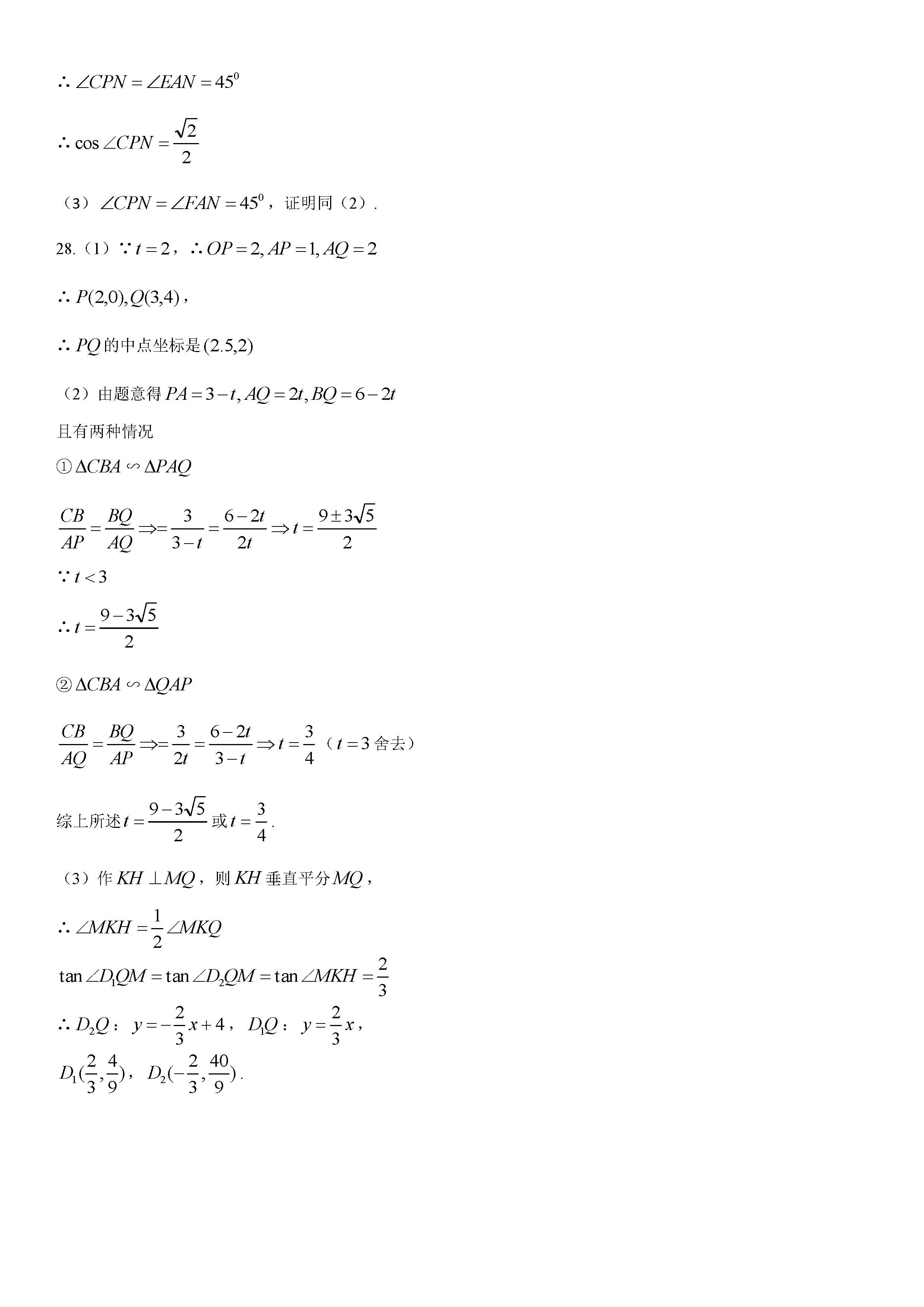
2018年扬州中考数学真题及答案-图片版

发布时间:2019-02-21 16:56:37

2018年扬州中考时间6月15日-17日,生活日记网中考频道更新了2018年扬州中考数学真题及答案,立刻对答案。预祝各位同学考出理想成绩!

2018年扬州中考数学真题及答案-图片版

小编推荐:2018年中考成绩查询官网入口|中考志愿填报系统和时间

2018年扬州中考真题及答案|中考语文真题|中考满分作文

2018年扬州中考数学真题及答案|中考英语真题|中考英语作文

2018年扬州中考物理真题|中考化学真题|生物真题及答案 

2018年扬州中考历史真题|中考地理真题|中考zz真题

2018年扬州中考数学真题及答案-图片版2018年扬州中考数学真题及答案-图片版2018年扬州中考数学真题及答案-图片版2018年扬州中考数学真题及答案-图片版2018年扬州中考数学真题及答案-图片版2018年扬州中考数学真题及答案-图片版2018年扬州中考数学真题及答案-图片版2018年扬州中考数学真题及答案-图片版2018年扬州中考数学真题及答案-图片版
阅读更多学历试题,请访问生活日记网 用日志记录点滴生活!考试试题频道。
喜欢考试试题,那就经常来哦

该内容由生活日记网提供.