考试试题大全
考试试题
最新
推荐
外语试题
医药试题
财会试题
建筑试题
资格试题
学历试题
其他试题
首页
>
考试试题
>
学历试题
>
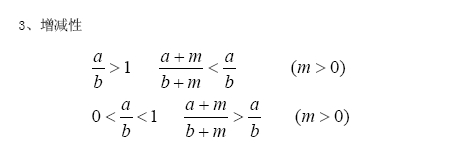
2013联考MBA数学考试辅导:增减性
2013联考MBA数学考试辅导:增减性
发布时间:2019-02-10 15:41:11
2013联考MBA数学考试辅导:增减性
阅读更多
学历试题
,请访问生活日记网 用日志记录点滴生活!
考试试题
频道。
5
阅读(770)
您可能喜欢的考试试题
2013年6月英语四级真题翻译答案第二套(沪江版)
2013年6月英语四级真题翻译答案第一套(沪江版)
2017年6月英语四级考试翻译答案:黄河(新东方版1)
2017年6月英语四级考试翻译答案:黄河(有道版)
2017年6月英语四级考试翻译答案:长江(有道版)
2016年英语四级翻译真题及答案:京剧脸谱
2016年英语四级翻译真题及答案:灯笼
2016年英语四级翻译真题及答案:指南针
2016年英语四级翻译真题及答案:儒家思想
2016年英语四级翻译真题及答案:中国象棋
俄语语法辅导:感叹词(2)
俄语语法辅导:感叹词(1)
俄语语法辅导:限定代词каждый,любой,всякий的变格和用法
俄语语法辅导:否定代词的用法
俄语语法辅导:不定代词用法
俄语语法辅导:俄语口语的固定用法及解释3
俄语语法辅导:俄语口语的固定用法及解释2
俄语语法辅导:俄语口语的固定用法及解释1
俄语语法辅导:巧记名词变格口诀
俄语语法教程系列:名词单数的变格4
喜欢
考试试题
,那就经常来哦
该内容由生活日记网提供.
栏目分类
外语试题
医药试题
财会试题
建筑试题
资格试题
学历试题
其他试题
考试试题推荐
法语语法与词汇考试练习选择题(2)
法语语法与词汇考试练习选择题(1)
法语专业四级试题:法语听写一
法语专业四级试题:法语听写二
法语专业四级试题:法语听写三
初级会计职称考试试题:经济法基础单选题第一套
会计初级职称教材知识点练习题:经济法基础试题汇总(共10套)
会计初级职称教材知识点练习题:经济法基础试题十
初级会计职称《经济法基础》模拟练习30
会计初级职称教材知识点练习题:经济法基础试题九
精选考试试题
俄语
真题
模拟题
计算机
法语
会计
法语初级
公共英语
一级消防工程师
英语
一级建造师
执业药师
英语六级
初级语法
大学英语
意大利语
英语四级
初级会计师
英语八级
英语三级
护理