2018年佛山中考时间6月20日-22日,生活日记网中考频道更新了2018年佛山中考数学试题及答案,立刻对答案。预祝各位同学考出理想成绩!
小编推荐:2018年中考成绩查询官网入口|中考志愿填报系统和时间
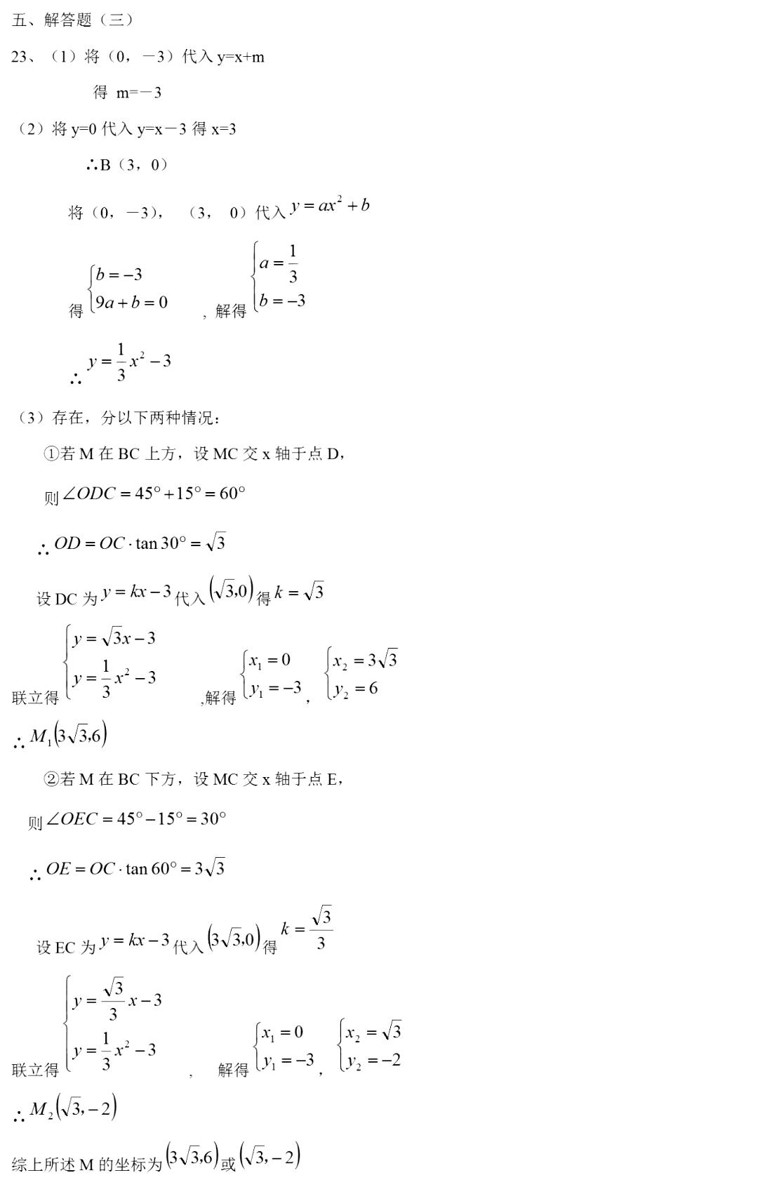
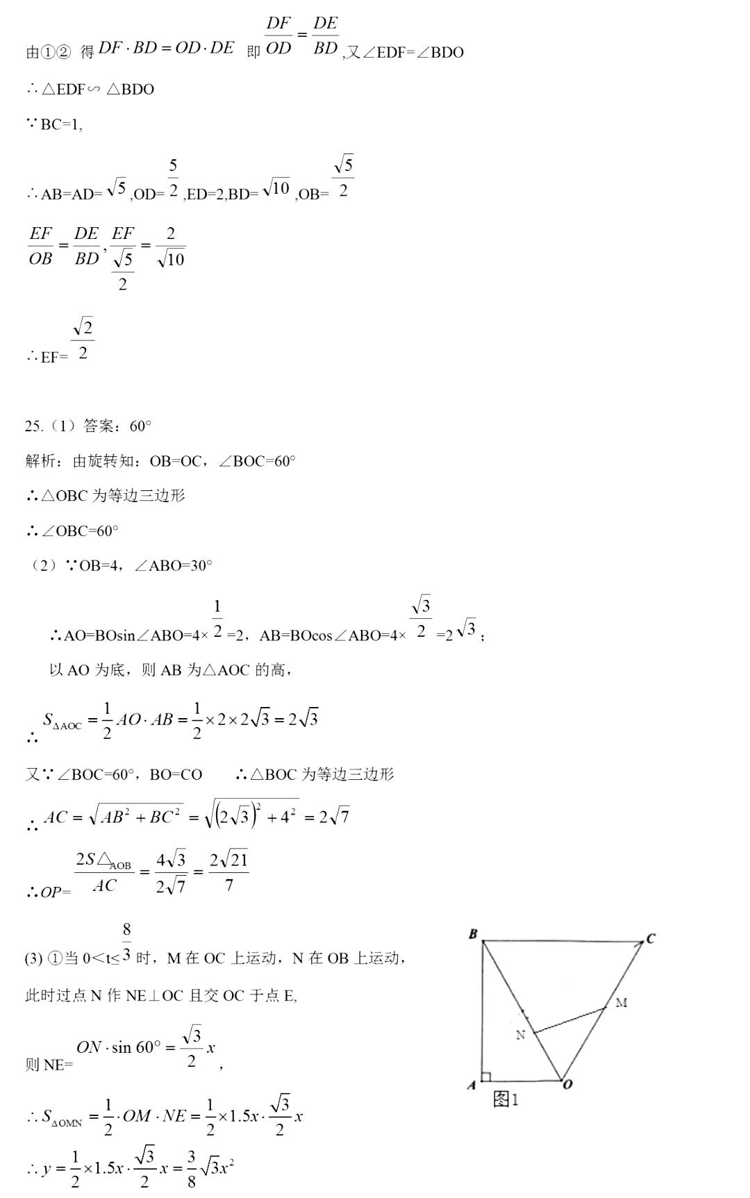
2018年佛山中考试题及答案|中考语文试题|中考满分作文
2018年佛山中考数学试题及答案|中考英语试题|中考英语作文
2018年佛山中考物理试题|中考化学试题|生物试题及答案
2018年佛山中考历史试题|中考地理试题|中考zz试题








小编推荐:2018年中考成绩查询官网入口|中考志愿填报系统和时间
2018年佛山中考试题及答案|中考语文试题|中考满分作文
2018年佛山中考数学试题及答案|中考英语试题|中考英语作文
2018年佛山中考物理试题|中考化学试题|生物试题及答案
2018年佛山中考历史试题|中考地理试题|中考zz试题
