2018年揭阳中考时间6月20日-22日,生活日记网中考频道更新了2018年揭阳中考数学真题及答案,立刻对答案。预祝各位同学考出理想成绩!
小编推荐:2018年中考成绩查询官网入口|中考志愿填报系统和时间
2018年揭阳中考真题及答案|中考语文真题|中考满分作文
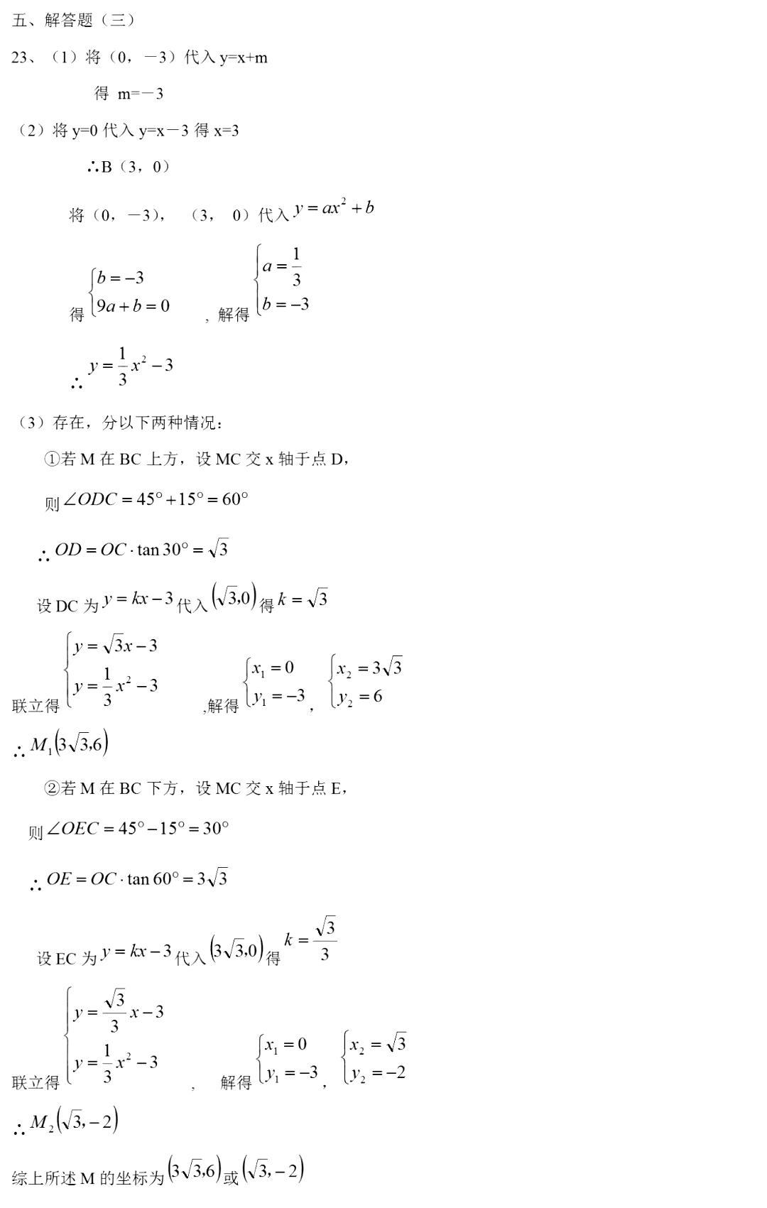
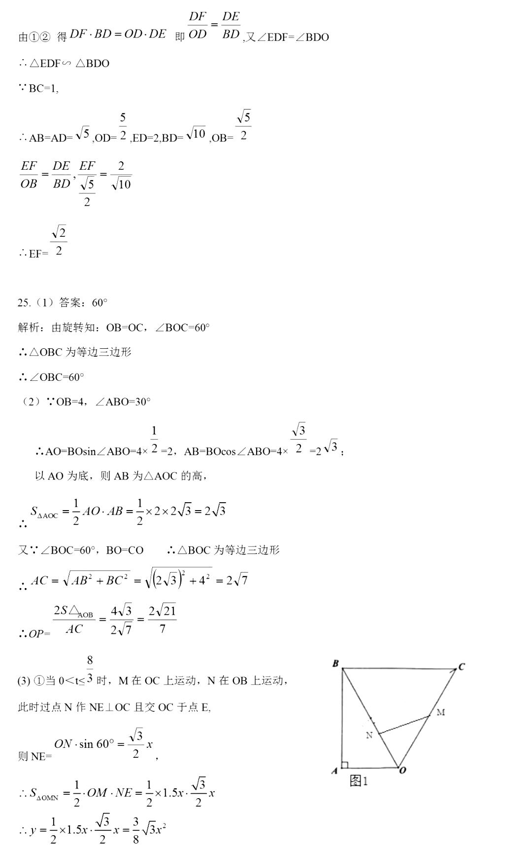
2018年揭阳中考数学真题及答案|中考英语真题|中考英语作文
2018年揭阳中考物理真题|中考化学真题|生物真题及答案
2018年揭阳中考历史真题|中考地理真题|中考zz真题








小编推荐:2018年中考成绩查询官网入口|中考志愿填报系统和时间
2018年揭阳中考真题及答案|中考语文真题|中考满分作文
2018年揭阳中考数学真题及答案|中考英语真题|中考英语作文
2018年揭阳中考物理真题|中考化学真题|生物真题及答案
2018年揭阳中考历史真题|中考地理真题|中考zz真题
