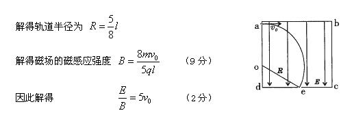
15.如图10所示,abcd是一个正方形的盒子,在cd边的中点有一小孔e,盒子中存在着沿ad方向的匀强电场,场强大小为E。一粒子源不断地从a处的小孔沿ab方向向盒内发射相同的带电粒子,粒子的初速度为v0,经电场作用后恰好从e处的小孔射出。现撤去电场,在盒子中加一方向垂直于纸面的匀强磁场,磁感应强度大小为B(图中未画出),粒子仍恰好从e孔射出。(带电粒子的重力和粒子之间的相互作用力均可忽略)
(1)所加磁场的方向如何?
(2)电场强度E与磁感应强度B的比值为多大?

参考答案


发布时间:2019-02-10 17:32:21
15.如图10所示,abcd是一个正方形的盒子,在cd边的中点有一小孔e,盒子中存在着沿ad方向的匀强电场,场强大小为E。一粒子源不断地从a处的小孔沿ab方向向盒内发射相同的带电粒子,粒子的初速度为v0,经电场作用后恰好从e处的小孔射出。现撤去电场,在盒子中加一方向垂直于纸面的匀强磁场,磁感应强度大小为B(图中未画出),粒子仍恰好从e孔射出。(带电粒子的重力和粒子之间的相互作用力均可忽略)
(1)所加磁场的方向如何?
(2)电场强度E与磁感应强度B的比值为多大?

参考答案


该内容由生活日记网提供.